¿Te imaginas formular una de las leyes de física más importantes gracias a que se te cae una manzana a la cabeza?
Bueno, pues así mismo es como Isaac Newton ideó la Ley de la Gravedad. ¿Curioso verdad? En este artículo te vamos a contar la famosa leyenda la cuál le da origen a esta ley de física. Pero antes, vamos a conocer un poco quién es Isaac Newton y la Ley de la Gravedad;
Isaac Newton

Isaac Newton (1642-1727) fue un físico, inventor, alquimista y matemático inglés. Nació (curiosamente) el 25 de diciembre de 1642 en una aldea de Woolsthorpe, en el condado de Lincolnshire. Con 13 años fue inscrito en la King’s School. Seis años después, en 1661 fue admitido en el Trinity College de Cambridge. Allí recibió una educación basada en los principios de la filosofía de Aristóteles. Debido a la gran epidemia de la peste en 1665 volvió a su casa y no reemprendió sus estudios definitivamente hasta dos años después, en 1667. Newton describió estos dos años cómo su «época más fecunda de invención», durante la cual «pensaba en las matemáticas y en la filosofía mucho más que en ningún otro tiempo desde entonces». Durante este periodo fue cuando ocurrió la famosa anécdota de la manzana, por lo que Newton pudo formular sus primeras ideas sobre la atracción gravitatoria. En 1686, el físico inglés dio a la luz la primera parte de su obra Principios matemáticos de la filosofía natural que marcó un punto de inflexión en la historia de la ciencia. Finalmente, Isaac Newton murió el 20 de marzo de 1727.
Ley de la Gravitación Universal
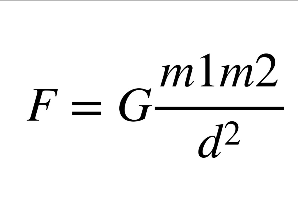
En su mencionada anteriormente, Newton formuló la ley de gravitación universal. Esta, defiende la relación existente entre la masa de dos objetos y la fuerza que los atrae. Por lo tanto, gracias a esta ley se puede predecir que la fuerza ejercida entre dos cuerpos (m1 y m2) separados por una distancia (r) es igual al producto de sus masas e inversamente proporcional al cuadrado de la distancia. Es decir:

La leyenda de la manzana:
Según cuenta la leyenda (promulgada por el propio Newton), alrededor del año 1666 Newton se encontraba tranquilamente sentado con la espalda apoyada en un manzano. De repente, se le cayó una manzana en la cabeza. Esto, no le hizo más que reflexionar sobre la causa que provocaba esta caída “¿Por qué esa manzana siempre desciende perpendicularmente hasta el suelo?” Se preguntó Newton. Gracias esta reflexión se dio cuenta de que era una fuerza lo que causaba la caída de la manzana, la misma fuerza que mantenía a la luna en órbita en torno a la Tierra.
Esta historia se hizo conocida por primera vez en el libro La filosofía de Newton del filósofo Voltaire. En este libro él cita esta historia tal como la sobrina de Newton (Caroline Barton) se la contó. Voltaire también hace referencia al amigo y biógrafo de Newton, William Stukeley, quién afirma que su propio amigo le contó la anécdota.

La Ley de la Gravedad no fue el único logro de Newton, si estás interesado en buscar otros logros suyos no dudes en consultar libros o internet.
Referencias:
https://es.wikipedia.org/wiki/Isaac_Newton
https://www.biografiasyvidas.com/monografia/newton/
https://es.wikipedia.org/wiki/Ley_de_gravitaci%C3%B3n_universal
https://trome.pe/familia/escuela/isaac-newton-manzana-teoria-gravedad-48629-2/
Un comentario en “La leyenda que dio lugar a la Ley de la Gravedad.”